Understanding the Softmax Function: A Guide for Beginners
The softmax activation function is a popular function used in neural networks for classification tasks. It is useful because it converts a vector of arbitrary real numbers into a probability distribution, where each element of the vector represents the probability of a particular class.
The softmax function takes as input a vector of numbers, z, and applies the following formula to each element of the vector:

where n is the number of elements in the vector, the softmax function exponentiates each component of the input vector and then divides each exponentiated value by the sum of all the exponentiated values. This ensures that the output of the function is a valid probability distribution, as the sum of all the probabilities will be equal to 1.
In deep learning, one of the most common techniques for training neural networks is backpropagation, which uses the chain rule of calculus to compute the gradients of the loss function with respect to the parameters of the network. These gradients are then used to update the parameters via gradient descent or other optimization methods.
The key requirement for backpropagation is that all the functions in the neural network must be differentiable. This is because the chain rule of calculus requires that we be able to compute the derivative of the output of each function with respect to its input, and then chain these derivatives together to compute the overall gradient.
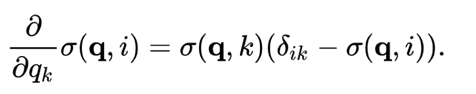
The softmax function is differentiable, which makes it ideal for use in neural networks that rely on backpropagation for training. Specifically, the derivative of the softmax function with respect to its inputs can be expressed in terms of the function itself, as follows:

This expression allows us to compute the gradient of the softmax function with respect to its inputs (i.e., the output of the previous layer in the neural network) efficiently, using only the outputs of the softmax function itself. This gradient can then be used in backpropagation to compute the gradients of the loss function with respect to the parameters of the network.
In contrast, the max function is not differentiable, which makes it challenging to use in neural networks that rely on backpropagation. Specifically, the derivative of the max function with respect to its inputs is undefined at the point of the maximum value, because there is no unique direction of increase at that point. This means that we cannot compute the gradient of the max function with respect to its inputs, which makes it challenging to use in backpropagation.
Overall, the differentiability of the softmax function is a key advantage for its use in neural networks, because it enables efficient computation of the gradients needed for backpropagation. The lack of differentiability of the max function, on the other hand, makes it difficult to use in neural networks that rely on backpropagation, because we cannot compute the gradients needed for efficient optimization.
◼︎ Why Max function is not proper as the Softmax function
In contrast, the max function simply returns the maximum value in a vector, without any transformation. While the max function can be useful for certain tasks, such as identifying the most important feature in a dataset, it is not appropriate for classification tasks because it does not provide a probability distribution over the possible classes.
The main reason why the max function is not appropriate for classification tasks is that it does not provide a probability distribution over the possible classes. Instead, it simply returns the maximum value in a vector, which may or may not be a valid probability.
To illustrate this point, consider a classification problem with three classes: A, B, and C. Suppose we have a vector of scores for each class, as follows:
scores = [2.0, 1.5, 1.0]
If we apply the max function to this vector, we get:
max(scores) = 2.0
This tells us that the maximum score is 2.0, but it does not provide any information about the relative probabilities of the three classes. In contrast, if we apply the softmax function to the same vector, we get:
softmax(scores) = [0.496, 0.333, 0.170]
This tells us that the probability of class A is approximately 0.496, the probability of class B is approximately 0.333, and the probability of class C is approximately 0.170. These probabilities add up to 1, so they form a valid probability distribution over the three classes.
Another important advantage of the softmax function is that it is differentiable, which means that it can be used in backpropagation to train neural networks. The max function, on the other hand, is not differentiable, which makes it difficult to use in neural networks that rely on gradient-based optimization methods.
◼︎ If don't use the backpropagation method, then the max function can be used.
if we use a different optimization algorithm that does not rely on backpropagation, such as a forward-forward algorithm, then the differentiability of the activation function becomes less important, and the max function could be a viable alternative to the softmax function.
In the forward-forward algorithm, we compute the output of the network by iteratively applying the activation functions to the inputs, starting from the input layer and moving toward the output layer. This process is repeated until we reach the output layer, at which point we obtain the final output of the network. The optimization process involves finding the values of the network parameters that minimize the difference between the network output and the desired output.
In this context, the max function can be a reasonable choice for the final layer of a neural network that performs classification, because it selects the class with the highest score, which is often the desired output of a classification problem. However, it is important to note that the max function still suffers from the same limitation as before, which is that it does not provide a probability distribution over the classes.
In addition, using the max function in a forward-forward algorithm can also be more computationally expensive than using the softmax function in a backpropagation algorithm, because the forward-forward algorithm requires repeated evaluations of the activation functions for each layer of the network. In contrast, the backpropagation algorithm requires only a single evaluation of the activation functions for each layer, followed by the computation of gradients and parameter updates.
Overall, while the max function can be a viable alternative to the softmax function in certain optimization algorithms, its limitations in providing a probability distribution and its potentially higher computational cost should be considered carefully before making a decision.
◼︎ Softmax has several limitations, which include:
- Sensitivity to outliers: Softmax is sensitive to outliers in the input data, which can result in inaccurate predictions.
- Gradient saturation: The gradient of the softmax function can saturate when the input values become too large or too small. This can result in slow learning or completely stop the learning process.
- Bias towards dominant classes: Softmax tends to give more weight to dominant classes in the input data, which can result in poor performance for minority classes.
To overcome these limitations, several activation functions have been proposed as alternatives to softmax. Some of these activation functions include:
- Rectified Linear Unit (ReLU): ReLU is a widely used activation function in deep learning. It is less sensitive to outliers and can handle large input values without saturation. However, ReLU can also suffer from the "dying ReLU" problem, where some neurons stop learning.
- Softplus: Softplus is a smooth approximation of ReLU that does not suffer from the "dying ReLU" problem. It is also less sensitive to outliers and can handle large input values without saturation.
- Swish: Swish is a recently proposed activation function that has been shown to outperform ReLU and other activation functions in several deep-learning tasks. It is less sensitive to outliers and can handle large input values without saturation.
- Sigmoid: Sigmoid is another commonly used activation function. It is less sensitive to outliers and can handle large input values without saturation. However, sigmoid can suffer from the vanishing gradient problem, which can result in slow learning.
- Tanh: Tanh is similar to sigmoid but can handle negative input values. It is less sensitive to outliers and can handle large input values without saturation. However, like sigmoid, tanh can also suffer from the vanishing gradient problem.
In practice, the choice of activation function depends on the specific task and the characteristics of the input data. It is often a good idea to experiment with different activation functions to find the one that works best for the given task.
Overall, while the max function can be useful for certain tasks, such as feature selection or identifying the most salient element in a dataset, it is not appropriate for classification tasks because it does not provide a probability distribution over the possible classes. The softmax function, on the other hand, is a powerful tool for classification tasks because it converts an arbitrary vector of real numbers into a probability distribution, allowing the neural network to make informed decisions about the most likely class for a given input.

댓글
댓글 쓰기